Customer Satisfaction Measurements
How to Build a Satisfaction Survey - How to Measure Satisfaction
Measuring satisfaction and building a customer or employee satisfaction survey requires at least a basic knowledge of the satisfaction measurement literature.
Customer satisfaction has been defined as the state of mind that customers have about a company and its products or services when their expectations have been met or exceeded. This is state reflects the lifetime of the product or service experience.
Satisfaction research has primarily concentrated on a rational cognitive approach to evaluation as a process:
- Expectations (11 pages per minute, High Quality Color Printing);
- Product usage (3 pages per minute, Good Quality Color Printing);
- Cognitive evaluation comparing product performance and expectations (11 PPM ? 3 PPM + High ? Good = - Evaluation)
- Confirmation ? Disconfirmation of Expectations
Customer satisfaction usually leads to customer loyalty and product repurchase. But measuring satisfaction is not measuring loyalty. The following are typical satisfaction questions asked:
- Overall, how satisfied are you with (brand name)?
- Would you recommend (brand name)?
- Do you intend to repurchase (brand name)?
What Is Satisfaction?
Satisfaction is an overall psychological state that reflects the evaluation of a company/environment/product/service. Satisfaction includes cognitive, affective (like/dislike), and behavioral response elements.
Overall Measures of Satisfaction
Satisfaction is a result of a product related experience and reflects the product*s performance in use. It makes little sense to measure satisfaction toward a product that has never been used.
Satisfaction can influence post-purchase/post-experience actions other than usage (such as search, shopping behavior, and trial of associated products).
Satisfaction and attitude are closely related concepts. Attitudes and satisfaction have both been defined as an evaluation of a social object. The distinction is that satisfaction is a "post experience" evaluation of fitness or utility.
Affective Measures of Satisfaction
A consumer*s attitude (liking/disliking) towards a product can result from any product information or experience. It is meaningful to measure attitudes towards a product that a consumer has never used.
Cognitive Measures of Satisfaction
A cognitive element of an appraisal or conclusion that the product was useful (or not useful), fit the situation (or did not fit), exceeded the requirements of the problem/situation (or did not exceed). Cognitive responses are specific to the situation for which the product was purchased.
Behavioral Measures of Satisfaction
Consumers often think of dissatisfaction as being synonymous with regret or disappointment. Satisfaction may be linked to ideas such as, "it was a good choice" or "I am glad that I bought it." When phrased in behavioral response terms, consumers indicate that ?purchasing this product would be a good choice§ or ?I would be glad to purchase this product.§
Expectations and Satisfaction
Expectations are beliefs (likelihood or probability) that a product/service (containing certain attributes, features, or characteristics) will produce certain outcomes (benefits-values) given certain anticipated levels of performance on that set of attributes. Expectations are often seen as related to satisfaction and have been measured in many ways, including:
- Importance-Value of the product/service fulfilling the expectation;
- Overall Affect-Satisfaction Expectations: The liking/disliking of the product/service;
- Fulfillment Expectations: the expected level of performance vs. the desired expectations. This is ?Predictive Fulfillment§ and is a respondent specific index of the performance level necessary to satisfy;
- Expected Value From Use: Satisfaction is often determined by frequency of use. If a product/service is not used as often as expected, the result may not be as satisfying as anticipated. For example a Harley Davidson that sits in the garage, an unused year subscription to Gold*s Gym, or a little used season pass to Snowbird Ski Resort would produce more dissatisfaction with the decision to purchase than with the actual product/service.
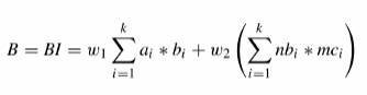
Expectancy Value Measures of Behavioral Intention (BI), Attitude (A) and Satisfaction (SAT)
Expectancy value models have been found to perform well in predicting both satisfaction/dissatisfaction and behavioral intention (intention to try, purchase, recommend, or re-purchase a product or service).
The Expectancy value theory model using attitudes and beliefs reads:
where:
w1, w2 = weights that indicate the relative influence of the overall attitude toward the object and the normative influence to purchase the product
?ai * bi = the overall attitude toward the object. The overall attitude is formed by the multiplicative product of ai (the person*s affective evaluation of attribute i), and bi (here defined as the importance of attribute i in the purchase decision). The sum is taken over the k attributes that are defined as salient in the purchase decision.
?nbi * mci = The overall normative component of the decision process. This is computed as the multiplicative product of nbi (the norms governing attitude i), and mci (the motivation of the respondent to comply with those norms).
Behavioral Intention (bI)
Behavioral intention is measured using a question such as "Indicate the likelihood of you buying sometime during the next year" with a seven-point scale labeled "definitely will" and "definitely will not" at the endpoints.
Satisfaction (SAT)
Overall satisfaction or dissatisfaction with an object is often measured using a five-point liking-disliking scale. As an example, "in general, I like Crest toothpaste" and "In general, I dislike Crest toothpaste" at the endpoints.
The like-dislike measure is used as an overall measure of respondent satisfaction with a product or service (after purchase). Satisfaction leads to favorable feelings and dissatisfaction leads to unfavorable feelings.
The evaluative dimension may be measured in terms of like-dislike, favorable-unfavorable; approve-disapprove; good-bad; and delight-failure scales.
Attitude (ai*bi)
bi - the probability that attribute i is associated with performing behavior B. The concept "Crest toothpaste prevents decay§ could be rated on a seven point scale with endpoints labeled "Very Likely" and "Very Unlikely".
ai - the evaluation of belief i. A representative measure of ai would be "In terms of buying Crest toothpaste, decay prevention is ..." with a five or seven point scale with "good" and "bad"; or ?Excellent§ and ?Poor§ at the endpoints.
In building a customer satisfaction survey, it is also helpful to consider reasons why pre-purchase expectations or post purchase satisfaction may or may not be fulfilled or even measurable.
- Expectations may not reflect unanticipated service attributes;
- Expectations may have been quite vague, creating wide latitudes of acceptability in performance and expected satisfaction;
- Expectation and product performance evaluations may be sensory and not cognitive, as in taste, style or image;
- The product use may attract so little attention as to produce no conscious affect or cognition (evaluation), and result in meaningless satisfaction or dissatisfaction measures;
- There may have been unanticipated benefits or consequences of purchasing or using the product (such as a use or feature not anticipated with purchase);
- The original expectations may have been unrealistically high or low;
- The product purchaser, influencer and user may have been different individuals, each having different expectations.





